Sinopharm efficace à 73% au Maroc pendant 9 mois (étude 25.000 personnes)
La première étude marocaine analysant l’efficacité du vaccin Sinopharm (25.768 personnes) conclut que ce dernier est très efficace contre le Covid durant les trois premiers mois qui suivent l’injection de la 2e dose. Son efficacité diminue légèrement à partir du 4e mois, en particulier chez les personnes âgées de plus de 60 ans. Détails.
Le vaccin Sinopharm fait l'objet de critiques au niveau international quant à son efficacité. Bien qu'approuvé par l'Organisation mondiale de la santé (OMS), il n'est pas encore autorisé en Europe et dans d'autres pays étrangers.
Une récente étude, intitulée Long term effectiveness of inactivated vaccine BBIBP-CorV (Vero Cells) against COVID-19 associated severe and critical hospitalization in Morocco, réalisée par des chercheurs marocains, dont le Pr Redouane Abouqal, investigateur principal et coordinateur national des essais cliniques du vaccin Sinopharm au Maroc, s'est penchée sur son efficacité.
Notons que l'étude est au stade de la pré-impression et n'a pas encore été certifiée par des pairs.
Joint par nos soins, le Pr Abouqal nous confie qu’il s’agit de la première étude réalisée au Maroc et sur le contexte marocain, analysant l’efficacité du vaccin Sinopharm contre les formes graves et sévères du Covid au Maroc.
La période analysée coïncide avec la seconde vague, qui a connu une prédominance majoritaire de la souche Delta et non la souche Alpha pour laquelle le vaccin avait été conçu. L’étude a été menée sur 25.768 personnes âgées de plus de 18 ans.
Cette étude a été menée sur des données de surveillance recueillies au niveau national. Son objectif est d’estimer l’efficacité du vaccin inactivé Sinopharm, actuellement largement déployé au Maroc, pour réduire le risque d’hospitalisation à la suite d'une infection grave par le Sars-CoV-2, dans les neuf mois suivant la vaccination.
"Elle se concentre spécialement sur les cas graves ou critiques , qui pèsent lourd sur les systèmes de santé. La population âgée est plus vulnérable et plus à risque d'épuisement immunitaire après une immunisation complète, et mérite ainsi une attention particulière", soulignent les auteurs de ladite étude.
Une efficacité de 73% au cours des 9 premiers mois
"L’étude démontre que ce vaccin est hautement protecteur contre une infection grave par le Sars-CoV-2 dans des conditions réelles", nous confie le Pr Abouqal, notant que "la protection reste élevée et stable durant les trois premiers mois suivant la 2e dose, et diminue légèrement au-delà du quatrième mois, en particulier chez les personnes âgées de 60 ans et plus".
D’où la recommandation du ministère de la Santé d’accélérer l’administration de la 3e dose pour cette catégorie dès le 4e mois après la 2e dose du vaccin anti-Covid.
"Cette protection reste relativement élevée chez les personnes de moins de 60 ans qui doivent, elles, effectuer la 3e dose de rappel entre le 4e et le 6e mois après la 2e dose", ajoute notre interlocuteur.
L’étude démontre également que "l’efficacité du vaccin Sinopharm est estimée à 73% à tout moment durant les 9 premiers mois après l’injection de la 2e dose".
L'efficacité du vaccin chinois reste "très élevée durant les trois premiers mois, et commence à diminuer légèrement en fonction du temps écoulé depuis l’injection de la 2e dose, en raison de la diminution de l’immunité induite par le vaccin au fil du temps, mais aussi par un possible échappement immunitaire des nouveaux variants, ou encore en raison d’une combinaison de ces deux facteurs et d’autres".
L'étude démontre aussi "que l'efficacité du vaccin Sinopharm contre les hospitalisations sévères associées au Covid-19 a atteint un niveau maximum au cours du premier mois, et reste élevée et durable pendant les trois mois après la 2e dose (87%-90%). Elle décline légèrement au quatrième mois (75%) et se stabilise autour de 60% au-delà du cinquième".
Toutefois, "l'efficacité du vaccin diffère selon l'âge, les personnes âgées de 60 ans et plus présentant un déclin plus précoce et plus évident au-delà du troisième mois après la vaccination. En raison de l'immunosénescence et des comorbidités, cette catégorie est plus sensible aux infections et répond moins bien à la vaccination".
L’on peut ainsi conclure que l’efficacité du vaccin Sinopharm dépend de trois principaux facteurs, à savoir : son efficacité intrinsèque, l'âge du vacciné et le temps écoulé depuis l’administration de la dernière dose.
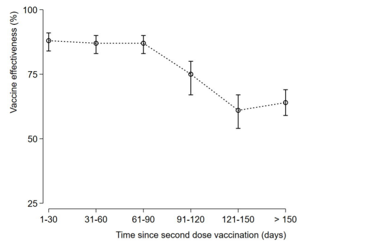
En fonction du temps écoulé après l’administration de la D2, "l’efficacité dudit vaccin est estimée à 88% durant le premier mois, 87% au cours des deuxième et troisième mois, 75% pendant le quatrième, 61% durant le 5e et 64% au-delà du 6e mois", relèvent les auteurs de l’étude.
Efficacité du vaccin Sinopharm en fonction du temps écoulé après l’administration de la D2
Par tranche d’âge, les résultats se présentent comme suit :
- Concernant les personnes de plus de 60 ans : l’efficacité de ce vaccin est estimée à 80% durant le premier mois après l’injection de la 2e dose, à 85% durant le deuxième mois, à 87% durant le troisième, à 64% pendant le quatrième, à 53% durant le cinquième, puis à 66% au-delà du sixième mois.
- Concernant les personnes de moins de 60 ans : l’efficacité est établie à 88% durant le premier mois après la 2e injection, à 90% durant les deuxième et troisième mois, à 84% durant le quatrième, à 72% durant le cinquième et à 70% au-delà du sixième.
Efficacité du vaccin Sinopharm par tranche d'âge
à lire aussi
Article : Dialogue social. Bilan et cap maintenu
Après plusieurs rounds de négociations, l’exécutif met en avant un bilan chiffré des concessions accordées sur les salaires, la protection sociale et les retraites, tout en affichant sa volonté d’aller plus loin sur les dossiers encore ouverts, des statuts particuliers à la réforme du Code du travail.
Article : Driss El Azami: “We are working to come first” as the PJD sets out its ambitions and hints at surprises
Five months ahead of the September 2026 parliamentary elections, Driss El Azami El Idrissi, the PJD’s first vice-secretary general, appeared on Médias24’s “12/13”. Mixing assessment, measured self-criticism and electoral ambition, he defended the trajectory of a party seeking to reclaim its place in the political landscape.
Article : Dakhla: 500 MW green data center megaproject launched to bolster Morocco’s digital sovereignty
An agreement between several public institutions launches the studies that will define the program’s economic model, governance, and financing arrangements.
Article : Olive : Kamal Ben Khaled élu à l’unanimité à la tête d’Interprolive
Kamal Ben Khaled a été élu à l’unanimité président de l’Interprofession marocaine de l’olive (Interprolive), à l’issue des travaux du conseil d’administration tenu le mercredi 15 avril 2026, ouvrant une nouvelle phase pour l’organisation dans un contexte marqué par les défis économiques et climatiques de la filière.
Article : Football. Ayyoub Bouaddi, l’ascension d’un prodige discret
Phénomène de précocité, le milieu de terrain d’origine marocaine brille par la maturité de ses prestations qui le rendent quasiment indispensable à l’entrejeu lillois. Son profil box-to-box serait un atout de poids pour les Lions de l’Atlas en vue des prochaines échéances.
Article : Le groupe polonais KGHM oriente ses investissements miniers vers le Maroc et l'Europe
Le groupe minier polonais KGHM Polska Miedź S.A. oriente ses investissements vers le Maroc et l’Europe, confirmant l’intérêt stratégique croissant pour le Royaume, selon une annonce de l’ambassade de Pologne et des déclarations à Reuters.

